CONTENTS コンテンツ

コンテンツ コンテンツ

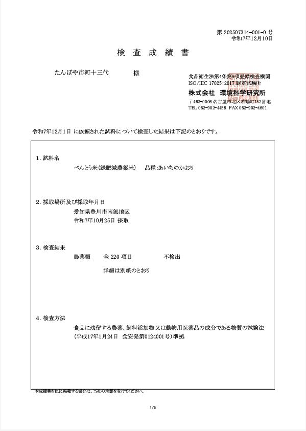
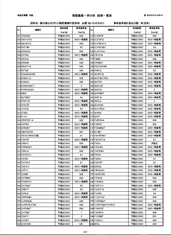
報告:令和7年度産 残留農薬検査の結果について

令和7年度産の残留農薬検査の結果について報告いたします。

当家では毎年第三者機関にて玄米の残留農薬検査を行い、品質の担保に努めています。

今年は 
①『 穂の国ものがたり 』緑肥栽培・農薬不使用米    及び
②『べんとう米』緑肥栽培・農薬(初期除草剤)1回使用
の2つの商品について検査いたしました。

結果はどちらとも『農薬類 全220項目 不検出』 でした。

以下、①『穂の国ものがたり 』  検査成績表

以下、②『べんとう米』検査成績表

お買い物はこちら お買い物はこちら